root@portfolio
				:
				~/Projects/Artificial Neural Networks from first principles
				$ cat README
			
			Developed Artificial Neural Networks from first principles
 
				 
			- Learned and implemented the theory of Artificial Neural Networks using Python with NumPy, without the use of any 3rd party machine learning libraries.
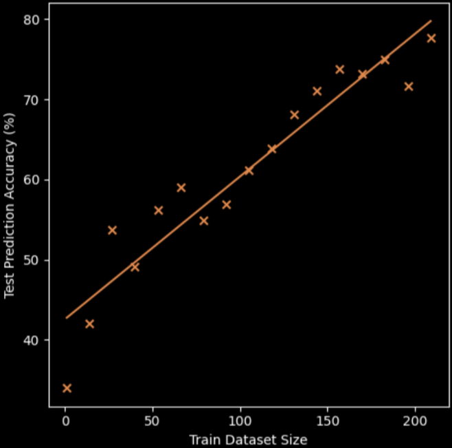
- I also allowed for training and saving of multiple models with custom hyper-parameters via a GUI, as well as experimenting via Jupyter notebooks, and achieved a prediction accuracy of 96% on the MNIST dataset.
- Provided a Docker file and set up a GitHub workflow to run unit tests as part of the CI/CD.
- GitHub Repository: github.com/max-cotton/school-project
				root@portfolio
				:
				~/Projects/Artificial Neural Networks from first principles
				$ 
				|